Аэрогенді немесе жапырақ-сабақты инфекциялармен байланысты ауруларды есепке алу үшін әр 25–50 қадам сайын 10 сынама алынды, әр сынамада 10 сабақ (жапырақ) болды (23-сурет). Ауру біркелкі таралған жағдайда іріктеу үшбұрыш немесе тікбұрыш бойымен, алқаптың шетінен 25–50 м шегініп, 200–300 м тереңдікке дейін жүргізілді. Ал ауру ошақты түрде таралғанда – шахматтық тәртіппен немесе алқап диагоналі бойымен үлгілер алынды [35].
;
23-сурет – Жаздық бидайдың фитопатогендермен зақымдануын есепке алу
Жаздық бидайдың фитопатогендермен зақымдануын есепке алу МЕМСТ 12044-93 «Аурулармен зақымдануды анықтау әдістері» бойынша жүргізілді [36] (24-сурет).

24-сурет – Жаздық бидай фитопатогендерін есепке алу
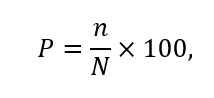
Дақылдардың фитопатологиялық жағдайы екі негізгі көрсеткіш бойынша бағаланды: аурудың таралуы және даму қарқындылығы.
Аурудың таралуы келесі формула бойынша есептелді [37]:
мұндағы:
n – сынамалардағы зақымданған өсімдіктер (органдар) саны, дана;
N – сынамалардағы есепке алынған барлық өсімдіктер (органдар) саны, дана.
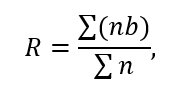
Аурудың дамуы (R) келесі формуламен есептелді [37]:
мұндағы:
∑(nb) – зақымданған өсімдіктер санын зақымдану дәрежесіне көбейткендегі қосындысы;
∑n – сынамалардағы зақымданған өсімдіктердің немесе органдардың жалпы саны.
Зақымдану дәрежесін бағалау үшін шартты шкалалар қолданылды [37, 38]. Аурудың даму қарқындылығы пайызбен өрнектелді. Балдық бағаны пайызға ауыстыру үшін келесі формула пайдаланылды [19]:
мұндағы:
∑(nb) – ауру даму баллына сәйкес келетін зақымданған өсімдіктер санының қосындысы;
∑n – сынамалардағы зақымданған өсімдіктер (немесе органдар) саны, дана;
A – есептік шкаланың ең жоғары балы.
Фунгицидтердің биологиялық тиімділігі келесі формуламен есептелді [37]:
мұндағы:
Y – бақылау учаскесіндегі аурудың даму көрсеткіші;
y – өңделген учаскедегі аурудың даму көрсеткіші.
Лабораториялық зерттеулер жалпыға бірдей қабылданған МЕМСТ және келесі әдістемелерге сәйкес жүргізілді: агроценоздардың жағдайы мен дақылдардың өнімділігі өсімдіктің фенологиялық даму фазалары бойынша анықталды, тұқымның натурасы – МЕМСТ ПО42-80 бойынша, өнім 14 % стандартты ылғалдылық пен 100 % тазалыққа қайта есептелді, егіннің құрылымы шоқтағы өсімдіктерді жеке талдау әдісімен бағаланды [37]. Өсімдік үлгілерін есепке алу күндері таңдап, олар «Торайғыров университеті» КеАҚ Биологиялық зерттеулер зертханасының базасында тиісті құралдармен талданды. Жер үсті бөлігінің және тамыр жүйесінің массасы аналитикалық таразыда өлшеу арқылы анықталды. Деректердің математикалық өңделуі Б.А. Доспехов әдістемесі бойынша жүргізілді [39]. Эксперименттік деректерге дисперсиялық және корреляциялық талдау IBMPC-де Excel бағдарламасы арқылы орындалды.